摘要:表面安裝
PCB板的自動檢測是保證質量、減少制造廢品浪費和返工的要求。本文研究定位和識別SMD檢測圖像中的多個對象的方法。表面安裝器件檢測的主要難點之一是元件放置的檢測。元件放置缺陷如漏貼、偏位或者是錯誤的旋轉元件是主要缺陷必須在回流焊之前或之后進行檢測。本文的重點在于定位多對象的對像識別技術;使用灰色模型匹配來為一組元件創建通用的模板。研究中使用標準化互相關模板匹配方法并對限制搜索區域以減少計算量的方法進行測試。查找模板位置的方法使用了一個遺傳算法,性能優越。最后列出了對典型的PCB圖像的實驗結果。
關鍵詞:PCB制造;元件檢測;模板匹配;遺傳算法
1 引言
視覺系統被用于檢測PCB貼片缺陷,并出現了很多不同的檢測方法。表面安裝技術使用自動設備高速的進行高元件密度PCB板的生產。檢測被用于檢查在生產過程中可能出現的可能的缺陷。
單面表面安裝板的主要生產步驟如圖1所示。步驟包括在PCB板上放置焊膏、在正確位置放置元件和將PCB板放入烤爐焊接元件到焊盤上(回流焊)。雙面板需要在一個更復雜的裝配過程中將穿板元件插到板上。用粘合劑在板的兩面固定SMD元件,然后使用峰波焊將元件焊接在板上。
元件的放置是自動“取-放”的過程,使用一個真空管來從喂料帶上拾取元件并將元件放置到板上。真空吹氣的時候可能存在元件沒有放下來(吹氣太弱)或者元件被吹離位置(吃氣太強)的情況;X-Y平臺機械狀況不好時會導致位置偏移的問題。元件放置缺陷包括:
(1)漏貼;
(2)偏位
(3)偏轉
回流焊過程中也會因為焊料特性和氣體釋放作用引起元件的升起和翻轉。因此線和離線檢測
被用于PCB板的生產過程中,如圖1所示。
圖1 SMD電路板生產過程
本文研究在圖像中定位多對象(如貼片電阻)的自動對象識別技術來識別它們的位置和旋轉。為位置質量檢查做好準備。設計的方法基于模板匹配和遺傳算法搜索,其中使用了一個通用灰色模型模板來識別對象。文章的第二章討論了模板匹配方法及其在對象識別中的使用。第三章討論了怎么對一組元件建立一個通用模板并產生一個最大可能搜索區域來驗證它的使用。第四章描述了怎樣縮小搜索區域以減少計算量。在第五章介紹了在一個源圖像搜索多對象的遺傳算法解決方案。第六章討論了方法的應用和結果。最后做了結論。
2 模板匹配
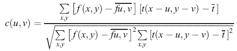
模板匹配是一個在一個源圖像中識別與另一個稱之為模板圖像的較小的子圖像匹配的特征的方法,經常被用于對象識別?;镜哪0迤ヅ渌惴ㄊ牵耗0鍒D像在源圖像上移動并在每個位置計算灰度相關度,灰度相關度使用像素亮度來估計模板圖像和源圖像區域之間的相似度。一般地,在模板匹配算法中使用標準化互相關(NCC)如下式:

(1)
其中f(x,y)是源圖像中灰階像素亮度矩陣;

是與模板圖像相一致區域的源圖像的平均灰階亮度值;
t是模板圖像的灰階像素亮度矩陣;

是模板圖像的灰階像素亮度平均值;
c(u, v)的值范圍從-1到1并且原圖像和模板圖像的比例變化與其無關。c(u, v)的最大值的地方即模板和源圖像最匹配的地方。為了使互標準化相相關可以檢測有旋轉的模式,需要在每個角度進行新的模板匹配搜索,這樣增加了計算量。標準灰階模板匹配方法用一個單一模板來搜索一個單獨的元件。定位和識別表現出不同灰階的相似元件需要一個模板模型化方法。
3 灰色模型模板
圖2是一個7475集成芯片的PCB源圖像和六個貼裝電阻。要求是要將7475下面的6個元件進行定位和識別,6個元件是5110或1001貼片電阻。注意到其中一個5110電阻相對其它旋轉了180度。6個元件的大小和形狀相同,但灰度值不一樣,因為元件上面的印刷字符不一樣,及元件的生產廠家不一樣產品顏色也有區別等。不一致的照明會在原圖像產生陰影區域。
圖2 PCB貼裝元件圖像
方法中使用一組元件的模板圖像來建立一個灰色模型模板。這個通過線性組合一組模板圖像來平均每個元件圖像之間的灰階亮度值的統計差異。方法從源圖像中的六個元件中提取相同大小的模板圖像并計算每個圖像對應像素值的平均值。圖3顯示使用從圖2中提取六個元件的模板圖像創建的通用灰色模型模板圖像。
通用模板可以用來搜索區域的最大可能性圖像如圖4所示。最大可能性X可以通過下式計算:

(2)
其中

是協方差矩陣的逆矩陣。協方差矩陣根據對應于模板矩陣的源圖像區域像素亮度矩陣及模板像素亮度矩陣計算。在方程中[f-t]轉置矩陣是1Xn矩陣,乘以 (nxn矩陣)得出一個1Xn矩陣。再將這個矩陣乘以nx1的[f-1]矩陣得到一個數量值X。X值的范圍為0到1。X趨于0,代表模板和對應源圖像匹配可能性很高。
在源圖像上移動圖3所示的通用模板并在每個位置計算協方差和使用式2計算最大可能性,便產生了最大可能性圖像。同時也創建對模板旋轉一定角度的最大可能性搜索區域圖像。圖4顯示了許多黑色的區域,這些區域最大可能性接近零,表示和要定位的元件在圖像上的位置匹配可能性很高。六個黑色區域對應貼片電阻的位置,可見計算的通用的模板能夠很好的在一個圖像上查找多對象。
圖3 通用模板
圖4 最大可能性圖像
4 限制搜索區域
在源圖像定位和識別多對象需要模板搜索。在標準的方法中,在源圖像的每個像素中應用模板,使用標準化互相關計算相似系數。雖然標準化互相關是應用于在圖像中檢測模式的很好的技術,但是其基于加法和乘法操作,這使得在搜索整個圖像是很費計算時間。如果預先知道一個元件在PCB上理想的中心位置(目標點),那么就可以將搜索限制在以目標點為中心的目標區域。使用這種方法能夠快速搜索,但是當元件錯貼時也更容易出錯(找不到對象)。
一個元件可以在板(源圖像)上任何位置被定位。如果使用“拾取-放置”移動機器來定位和移除錯件,那么需要對整個圖像進行搜索。源圖像的邊緣濾波可以用來將搜索區域限制在邊緣位置。通過只在邊緣位置搜索圖像,減少NCC需要執行的計算量。明顯和不明顯的邊緣都需要檢測,以便能夠進行精確的模板定位。Canny邊緣算法,對比其它邊緣濾波如Sobel,夠很好的檢測不明顯的邊緣。Canny濾波是對其它邊緣檢測方法的改進。Canny方法查找邊緣時,首先使用高斯濾波平滑圖像,然后執行梯度計算(gradient calculation),使多像素寬邊緣減少為單像素邊緣(非最大壓縮non-maximum suppression),應用低的和高的邊緣強度閾值,最后選擇所有在低閾值之上和在高閾值之上的邊緣相連的邊緣(finally accepting all edges over the low threshold that are connected to edges over the high threshold)。圖5顯示了Canny邊緣濾波后的源圖像。
從源圖中像中提取一個所有邊緣位置的向量并使用通用灰色模型模板對每個邊緣點計算NCC系數。如圖6所示,圖中有6個峰值對應創建灰階模板的6個電阻。當執行相似計算時,將模板圖像的左上角作為參考點。
邊緣檢測也具有對照明條件及對比度變化的魯棒性好的優點。在邊緣檢測之前,使用直方圖均衡化(Histogram equalization)作為預處理步驟,來提高動態范圍、對比度和最大化源圖像在沒有統一照明時的熵(增加信息量)為了標準化在不同照明下的圖像,將直方圖均衡化分別應用于源圖像元件的R、G、B圖像,然后再重新疊加。需要注意的是,因為我們的方法是基于一個從相同大小的子圖像撮的通用灰色模型模板圖像的,任何直方圖均衡化操作必須在創建通用模板之前應用。
圖5 Canny邊緣檢測
圖6Canny邊緣象素的標準化互相關系數
深圳宏力捷推薦服務:PCB設計打樣 | PCB抄板打樣 | PCB打樣&批量生產 | PCBA代工代料
